日前,在国家自然科学基金项目(31760559、31760567)的资助下,ac米兰徐小彪教授研究团队在毛花猕猴桃(Actinidia erianthaBenth.)雄性种质资源花器与叶片重要农艺性状基因定位方面取得新进展,相关成果以“全基因组关联分析为毛花猕猴桃花与叶性状相关基因定位提供了新见解(Genome-Wide Association Studies Provide Insights into the Genetic Determination of Flower and Leaf Traits of Actinidia eriantha)”为题,在《植物科学前沿》(Frontiers in Plant Science)上发表。
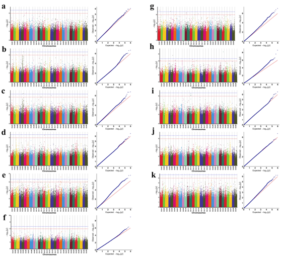
该研究将简化基因组测序技术应用于毛花猕猴桃雄性种质资源挖掘调控重要农艺性状的基因位点。运用高密度SNP标记构建了143份毛花猕猴桃雄株基因型的系统发育树,并进行了群体遗传结构和主成分分析,确定了4个不同地理来源的野生毛花猕猴桃雄性种质资源居群的亲缘关系。同时,通过雄株数量性状指标与SNP分子标记关联分析,获得了与花和叶片相关的11个数量性状(单花花瓣数、单花雄蕊数、花冠直径、单花花粉量、单花药花粉量、花粉活力、花瓣花青苷含量、叶片AsA含量、叶片总叶绿素含量、叶片总酚含量、叶片总类黄酮含量)相关的20个SNP位点及103个候选基因,为猕猴桃分子标记辅助育种提供了重要的理论参考。

全基因组关联分析(GWAS)的曼哈顿图和QQ图。(a)花粉活力;(b)单花药花粉量;(c)单花花粉量;(d)单花雄蕊数;(e)单花花瓣数;(f)花冠直径;(g)花瓣花青素含量;(h)叶片抗坏血酸含量;(i)叶片总叶绿素含量;(j)叶片总酚含量;(k)叶片总类黄酮含量。蓝色虚线表示0.01水平显著,红色虚线表示0.05水平显著。
在线论文链接:https://doi.org/10.3389/fpls.2021.730890
供稿:农学院 廖光联 审核:游金明